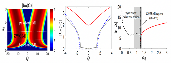
我校成人a片 孙文荣副教授与重庆大学刘磊和特拉维夫大学Boris A. Malomed教授基于三波共振相互作用模型和非线性狄拉克方程,解析发现了一种零波数增益调制不稳定性区域,并在此基础上完善了怪波的产生机制,相关机制适用于多类常见的可积系统,论文已被《PHYSICAL REVIEW LETTERS》接收发表。孙文荣副教授为文章的唯一通讯作者。

图:零波数增益调制不稳定性与怪波存在条件
文章详细信息://journals.aps.org/prl/pdf/10.1103/PhysRevLett.131.093801
关注微信
管理登录